TELDEACTUALIDAD
Telde.- El Ayuntamiento de Telde recibirá algo más de 7,8 millones de euros del Fondo de Desarrollo de Canarias (FDCAN) en las cuatro anualidades que contempla el programa 2016-2019. Del montante total que ingresará la Institución municipal, 2.254.541,79 euros los percibirá con cargo al ejercicio 20161.610.754,74 euros al de 2017, 2.014.328,62 euros en el año 2018 y 2.012.579,08 euros en 2019.
Cabe recordar que la ciudad presentó a esta convocatoria un total de 32 proyectos que sumaban unos fondos de 13,2 millones de euros.

Las obras comenzarían en marzo
El Cabildo de Gran Canaria prevé que en marzo comience la ejecución de inversiones por valor de unos 200 millones de euros correspondientes tanto al Fondo de Desarrollo de Canarias como al plan de proyectos sostenibles que perfila con fondos propios.
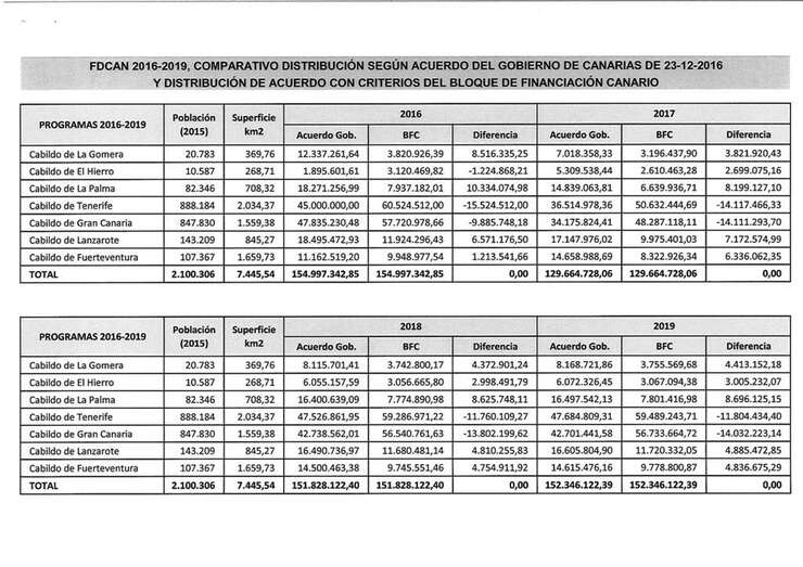
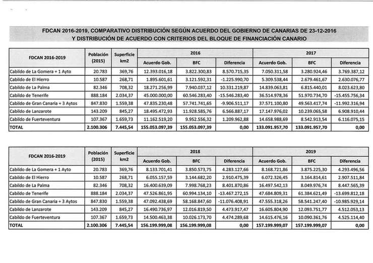
Así lo anunció hoy el presidente insular, Antonio Morales, en el transcurso de la Asamblea de Alcaldes de Gran Canaria celebrada para dar cuenta de la situación final del Fdecan, del que recibe en cuatro años 44 millones menos de lo que la Institución considera que le corresponde.
La Asamblea de Alcaldes decidió proseguir con el envío de proyectos al Cabildo para el diseño final de las obras que serán ejecutadas con cargo al Fdecan, 167 millones en cuatro años para el Cabildo y 18 ayuntamientos.
La anualidad de 2016, para obra Ejecutada
Morales explicó que se dan dos situaciones. La anualidad 2016 no será para obra nueva, ya que desde el inicio se acordó que iría a obras ya ejecutadas por falta de tiempo. El Cabildo y los 18 ayuntamientos que concurrieron de forma conjunta han logrado enviar certificaciones por 97 millones de euros que, de ser todas aceptadas por el Gobierno canario, supondrá una liquidez de en torno la mitad, 47,8 millones, cantidad asignada por el Ejecutivo para 2016.
La obra nueva, en 2017
Para 2017, los ayuntamientos y el Cabildo están proponiendo las obras nuevas para que en febrero pueda estar perfilada la fotografía final de las obras del Fdecan, que destina 34 millones a esta anualidad a la que Cabildo y ayuntamientos sumarán una cuantía similar porque las obras son al 50 por ciento. A la vista del resultado final, el Cabildo podrá cerrar su plan de obras sostenibles.
Este otro plan se ejecutará con fondos propios provenientes del dinero que el Cabildo tiene en los bancos y que no puede tocar por la ley de la regla del gasto, salvo que sea para obras “financieramente sostenibles”, criterio con el que espera poder invertir en torno a 60 millones de euros.
Gran Canaria recibirá 180 millones en 4 años
La isla recibirá en cuatro años 180 millones, 167 correspondientes al programa presentado por el Cabildo de Gran Canaria y 18 municipios, y el resto a los proyectos de San Mateo -que recibirá 7 millones frente a los 850.000 euros que le correspondería según el criterio REF-, Mogán –que capta 5 millones frente a los 1,5 que le correspondían-, y Firgas, que recibe 650.000 euros frente a los 800.000 que le corresponderían.
Con todo, las 22 corporaciones de Gran Canaria (Cabildo y 21 ayuntamientos) recibirán 180 millones de los 224 que la Institución considera que le pertenecerían, 44 millones menos según criterio REF, por lo que el Cabildo, al tiempo que pondrá en marcha la maquinaria para ejecutar las obras con las cuantías ya destinadas, proseguirá con el estudio jurídico para emprender la reclamación de la diferencia.



































































Normas de participación
Esta es la opinión de los lectores, no la de este medio.
Nos reservamos el derecho a eliminar los comentarios inapropiados.
La participación implica que ha leído y acepta las Normas de Participación y Política de Privacidad
Normas de Participación
Política de privacidad
Por seguridad guardamos tu IP
216.73.216.248